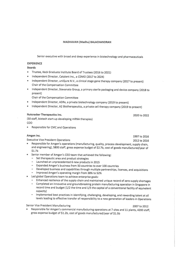
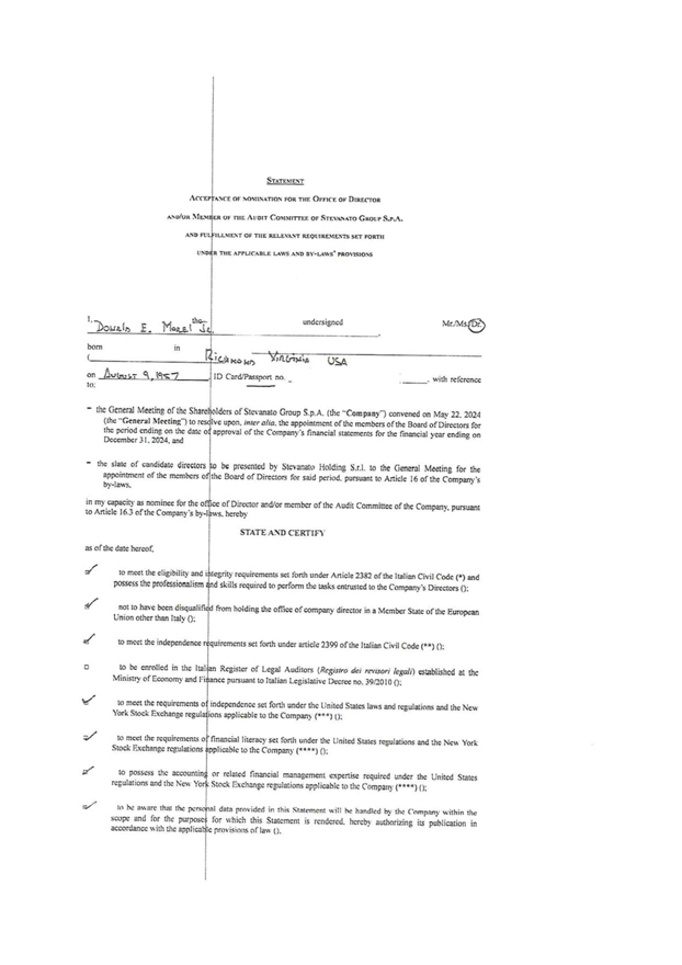
Exhibit 99.8

LOGO


LOGO


LOGO


LOGO


LOGO


LOGO


LOGO


LOGO


LOGO


LOGO


LOGO


LOGO


LOGO


LOGO


LOGO


LOGO


LOGO


LOGO


LOGO


LOGO


LOGO


LOGO


LOGO


LOGO


LOGO


LOGO


LOGO


LOGO


LOGO


LOGO


LOGO


LOGO


LOGO


LOGO


LOGO


LOGO


LOGO


LOGO


LOGO


LOGO


LOGO


LOGO


LOGO


LOGO


LOGO


LOGO